ALGEBRA: Definire le incognite partendo dai dati noti.
Appunti:
y = mx+q
y = ordinata
x = ascissa
m = pendenza della retta
q = intersezione della retta con l'asse y
Esercizi:
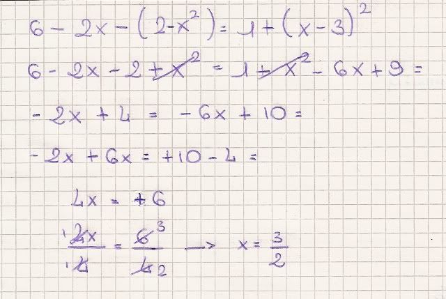
Espressione pag. 312 nr. 84
Trova la m e la q di A ( 5, -5 ) ; B ( 3, -7 ) e A ( -6, 25 ) ; B ( 3, 80 )
L'altro esercizio nemmeno lo posto, dal momento che, così come il primo, non penso sia corretto. Le chiederò una nuova spiegazione domani mattina, se possibile :)


